Ce blog contient: - des réflexions scientifiques - des mécanismes, des phénomènes, à partir de la cuisine - des idées sur les "études" (ce qui est fautivement nommé "enseignement" - des idées "politiques" : pour une vie en collectivité plus rationnelle et plus harmonieuse ; des relents des Lumières ! Pour me joindre par email : herve.this@inra.fr
Affichage des articles dont le libellé est acides gras. Afficher tous les articles
Affichage des articles dont le libellé est acides gras. Afficher tous les articles
samedi 7 septembre 2019
Pas d'acides gras dans l'huile, mais des triglycérides
Vraiment, je m'étonne : alors que je venais de twitter que l'huile ne contient pas d'acides gras, mais des triglycérides, un collègue m'interroge, parce qu'il ne comprend pas. Certes, ce n'est pas un chimiste... mais qu'importe : je vois surtout qu'il y a lieu d'expliquer (merci de me dire ensuite si j'ai été clair).
Partons donc d'une bouteille d'huile : dans le récipient en verre ou en plastique, on voit un liquide jaune, un peu visqueux, transparent. Si nous l'observons à l'aide d'une loupe, nous continuons de voir la même chose. Et également avec un microscope classique. En revanche, si nous regardons avec un microscope bien plus puissant, nous voyons l'huile faite d'objets analogues à des peignes à trois dents souples. Plein, qui grouillent... Ce sont des molécules, et ces molécules sont toutes comme des peignes à trois dents souples, de la catégorie que les chimistes nomment des triglycérides.
Dans les organismes vivants qui en synthétisent, ces composés sont obtenus par assemblage d'un composé nommé glycérol-3-phosphate et d'acide gras. Mais une fois que les atomes sont assemblés en molécules de triglycérides, il n'y a plus de glycérol ni d'acides gras.
Bien sûr, on sait aussi décomposer les triglycérides, afin de former, à partir d'eux, du glycérol et des acides gras, mais on sait aussi décomposer les molécules de triglycérides de mille autres manières. Et une huile décomposée, parce qu'elle a été exposée à la chaleur, ou à la lumière, ou à l'oxygène, est assez malsaine, rance, et la présence d'acides gras en abondance ne serait vraiment pas bon signe !
Donc voilà : pour ceux qui en avaient besoin, pas d'acides gras dans l'huile !
lundi 8 avril 2019
Pourquoi les diverses graisses ne fondent pas à la même température
Les question ne cessent d'arriver par email, mais je ne suis pas toujours parfaitement libre pour y répondre. Heureusement, vient le week-end, où je peux rattraper mon retard. Et, cette semaine, une question sur les graisses :
Pourquoi les graisses ne fondent-elles pas toutes à la même température ?
La question est d'autant plus intéressante que les publicités qui nous submergent ne cessent d'induire le public en erreur : contrairement à ce qu'elles mentionnent, il n'y a pas d'acides gras dans les matières grasses, huiles ou graisses végétales ! Ou, plus exactement, quand il y en a (jusqu'à environ 5 % dans les pire cas), c'est le signe que la matière grasse n'est pas bien raffinée, ou bien qu'elle a été dégradée.
Mais commençons par expliquer ce dont il s'agit, en partant d'une huile bien raffinée.
C'est alors un liquide transparent, quasi incolore, fait de molécules qui sont quasiment toutes des "triglycérides", à savoir des assemblages d'atomes de carbone, d'atomes d'hydrogène et d'atomes d'oxygène.
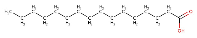
Plus précisément, pour la molécule d'un "triglycéride saturé", trois atomes de carbone liés sont ensuite chacun liés à un atome d'oxygène, qui est lui-même lié à un autre atome de carbone qui est, d'une part, lié à un atome d'oxygène, et, d'autre part, lié à un chaîne d'atomes de carbone qui sont chacun liés à deux atomes d'hydrogène, sauf à l'extrémité de la chaîne, le dernier atome de carbone est lié à trois atomes d'hydrogène, et non deux.
Ces molécules sont très nombreuses : dans une bouteille d'huile, il y en a environ cent millions de milliards de milliards.
Mais la description que je viens de donner est simpliste, parce que, en réalité, il y a des triglycérides variés : au lieu d'avoir cent millions de milliards de milliards de molécule d'une seule sorte, il y a des millions de milliards de molécules d'environ 400 millions de sortes différentes. Toutes ont en commun cette structure particulière, avec trois atomes de carbone auxquelles sont liées les structures présentées précédemment. Et comme on peut synthétiser chimiquement ces molécules à l'aide d'un composé nommé glycérol et de composés nommées acides gras, ou glycérides, on nomme triglycéride les molécules des matières grasses. D'ailleurs, on peut également dégrader les triglycérides en glycérol et acides gras, par exemple.
Le glycérol ? C'est le "sucre" le plus simple, avec, donc, trois atomes de carbone qui sont chacun liés à un atome d'oxygène liée à un atome d'hydrogène, et aussi à des atomes d'hydrogène, de sorte que le total de la liaison de chaque atome de carbone avec des atomes voisins soit de quatre.
Quant aux acides gras, ils sont tous faits d'un atome de carbone qui est lié à un atome d'oxygène, à un autre atome d'oxygène lié à un atome d'hydrogène, et à un enchaînement d'atomes de carbones qui ne sont liés, eux, qu'à des atomes d'hydrogène.
Mais il faut le répéter : les matières grasses alimentaires ne contiennent que très peu de glycérol et d'acides gras, et elles sont majoritairement faites de molécules de triglycérides. C'est un abus de langage dommageable que de dire qu'il y a des acides gras dans les matières grasses alimentaires. Et c'est cet abuse de langage qui impose de parler d'acides gras libres, pour les acides gras qui existent réellement, dans des matières grasses de mauvaise qualité.
Tout cela étant expliqué, nous pouvons maintenant nous préoccuper de la fonte des graisses solides, ou, inversement, de la solidification des matières grasses liquides.
L'expérience fondatrice est facile à faire : il suffit de mettre une bouteille d'huile dans un congélateur : quand l'huile est refroidie à la température du congélateur, elle est alors solide, blanche et opaque. En effet, les molécules sont des objets qui bougent, s'agitent, vibrent... d'autant plus rapidement qu'ils ont plus d'énergie, ce qui revient à dire d'autant plus que leur température est élevée. Et c'est ainsi que, quand on refroidit, les molécules ralentissent, et viennent s'empiler les unes sur les autres, formant des "cristaux" dont l'assemblage devient blanc comme la neige (qui est faite de cristaux, par empilement des molécules d'eau).
A ce stade, manque encore une information : les molécules de triglycérides s'attirent très légèrement, avec une force qui dépend de leur constitution moléculaire particulière.
Et c'est ainsi, par exemple, que si l'on ne considère que des matières grasses "saturées", comme celles que nous avons décrites précédemment, l'empilement se fait à température plus basse pour les petits triglycérides. En effet, imaginons deux groupes de triglycérides à la même température : un groupe avec des petites molécules, et un groupe avec des molécules plus grosses (plus d'atomes de carbone dans les "résidus d'acides gras"). Comme l'énergie d'une molécule correspond à son mouvement, la vitesse des petites molécules est supérieure. Cela signifie que leur mouvement vaincra plus facilement les forces d'attraction entre les molécules, et que ces petites molécules figeront plus difficilement.
Ce qui est dit de la taille des molécules de triglycérides n'épuise pas le sujet : pour l'instant, nous n'avons évoqué que les triglycérides "saturés", et pas les triglycérides "insaturés", pour lesquels les chaînes d'atomes de carbone sont moins flexibles pour des raisons que nous n'expliquerons pas ici. De ce fait, les empilements sont plus difficiles, et il faut donc refroidir davantage pour arriver à les empiler en solides. De fait, l'huile d'olive, qui contient beaucoup de ces triglycérides insaturés, fige à plus basse température que la matière grasse d'origine animale, qui contient des triglycérides saturés.
Hopla!
Et si voulez en savoir plus :
E.W. Hammond, in Encyclopedia of Food Sciences and Nutrition (Second Edition), 2003.
H.D. Belitz, W. Grosch, P. Schieberle, Food Chemistry, Springer Verlag.
Hervé This, Mon histoire de cuisine, Editions Belin.
Pourquoi les graisses ne fondent-elles pas toutes à la même température ?
La question est d'autant plus intéressante que les publicités qui nous submergent ne cessent d'induire le public en erreur : contrairement à ce qu'elles mentionnent, il n'y a pas d'acides gras dans les matières grasses, huiles ou graisses végétales ! Ou, plus exactement, quand il y en a (jusqu'à environ 5 % dans les pire cas), c'est le signe que la matière grasse n'est pas bien raffinée, ou bien qu'elle a été dégradée.
Mais commençons par expliquer ce dont il s'agit, en partant d'une huile bien raffinée.
C'est alors un liquide transparent, quasi incolore, fait de molécules qui sont quasiment toutes des "triglycérides", à savoir des assemblages d'atomes de carbone, d'atomes d'hydrogène et d'atomes d'oxygène.
Plus précisément, pour la molécule d'un "triglycéride saturé", trois atomes de carbone liés sont ensuite chacun liés à un atome d'oxygène, qui est lui-même lié à un autre atome de carbone qui est, d'une part, lié à un atome d'oxygène, et, d'autre part, lié à un chaîne d'atomes de carbone qui sont chacun liés à deux atomes d'hydrogène, sauf à l'extrémité de la chaîne, le dernier atome de carbone est lié à trois atomes d'hydrogène, et non deux.
Ces molécules sont très nombreuses : dans une bouteille d'huile, il y en a environ cent millions de milliards de milliards.
Mais la description que je viens de donner est simpliste, parce que, en réalité, il y a des triglycérides variés : au lieu d'avoir cent millions de milliards de milliards de molécule d'une seule sorte, il y a des millions de milliards de molécules d'environ 400 millions de sortes différentes. Toutes ont en commun cette structure particulière, avec trois atomes de carbone auxquelles sont liées les structures présentées précédemment. Et comme on peut synthétiser chimiquement ces molécules à l'aide d'un composé nommé glycérol et de composés nommées acides gras, ou glycérides, on nomme triglycéride les molécules des matières grasses. D'ailleurs, on peut également dégrader les triglycérides en glycérol et acides gras, par exemple.
Le glycérol ? C'est le "sucre" le plus simple, avec, donc, trois atomes de carbone qui sont chacun liés à un atome d'oxygène liée à un atome d'hydrogène, et aussi à des atomes d'hydrogène, de sorte que le total de la liaison de chaque atome de carbone avec des atomes voisins soit de quatre.
Quant aux acides gras, ils sont tous faits d'un atome de carbone qui est lié à un atome d'oxygène, à un autre atome d'oxygène lié à un atome d'hydrogène, et à un enchaînement d'atomes de carbones qui ne sont liés, eux, qu'à des atomes d'hydrogène.
Mais il faut le répéter : les matières grasses alimentaires ne contiennent que très peu de glycérol et d'acides gras, et elles sont majoritairement faites de molécules de triglycérides. C'est un abus de langage dommageable que de dire qu'il y a des acides gras dans les matières grasses alimentaires. Et c'est cet abuse de langage qui impose de parler d'acides gras libres, pour les acides gras qui existent réellement, dans des matières grasses de mauvaise qualité.
Tout cela étant expliqué, nous pouvons maintenant nous préoccuper de la fonte des graisses solides, ou, inversement, de la solidification des matières grasses liquides.
L'expérience fondatrice est facile à faire : il suffit de mettre une bouteille d'huile dans un congélateur : quand l'huile est refroidie à la température du congélateur, elle est alors solide, blanche et opaque. En effet, les molécules sont des objets qui bougent, s'agitent, vibrent... d'autant plus rapidement qu'ils ont plus d'énergie, ce qui revient à dire d'autant plus que leur température est élevée. Et c'est ainsi que, quand on refroidit, les molécules ralentissent, et viennent s'empiler les unes sur les autres, formant des "cristaux" dont l'assemblage devient blanc comme la neige (qui est faite de cristaux, par empilement des molécules d'eau).
A ce stade, manque encore une information : les molécules de triglycérides s'attirent très légèrement, avec une force qui dépend de leur constitution moléculaire particulière.
Et c'est ainsi, par exemple, que si l'on ne considère que des matières grasses "saturées", comme celles que nous avons décrites précédemment, l'empilement se fait à température plus basse pour les petits triglycérides. En effet, imaginons deux groupes de triglycérides à la même température : un groupe avec des petites molécules, et un groupe avec des molécules plus grosses (plus d'atomes de carbone dans les "résidus d'acides gras"). Comme l'énergie d'une molécule correspond à son mouvement, la vitesse des petites molécules est supérieure. Cela signifie que leur mouvement vaincra plus facilement les forces d'attraction entre les molécules, et que ces petites molécules figeront plus difficilement.
Ce qui est dit de la taille des molécules de triglycérides n'épuise pas le sujet : pour l'instant, nous n'avons évoqué que les triglycérides "saturés", et pas les triglycérides "insaturés", pour lesquels les chaînes d'atomes de carbone sont moins flexibles pour des raisons que nous n'expliquerons pas ici. De ce fait, les empilements sont plus difficiles, et il faut donc refroidir davantage pour arriver à les empiler en solides. De fait, l'huile d'olive, qui contient beaucoup de ces triglycérides insaturés, fige à plus basse température que la matière grasse d'origine animale, qui contient des triglycérides saturés.
Hopla!
Et si voulez en savoir plus :
E.W. Hammond, in Encyclopedia of Food Sciences and Nutrition (Second Edition), 2003.
H.D. Belitz, W. Grosch, P. Schieberle, Food Chemistry, Springer Verlag.
Hervé This, Mon histoire de cuisine, Editions Belin.
Libellés :
acides gras,
composés,
fusion,
gastronomie moléculaire,
graisse,
Hervé This vo Kientza,
matière grasse,
mobilité,
molécules,
saturation,
solidification,
triglycérides
vendredi 31 juillet 2015
Que faire devant la malhonnêteté ?
Certains de mes billets posent des questions auxquelles je réponds, mais d'autres posent des questions auxquelles j'invite mes amis à m'aider à répondre. Celui-ci est de ce second type.
Au départ, il y a une annonce, un "communiqué de presse", par l'université Purdue, qui stipule que "la recherche confirme que le gras est la sixième saveur".
Jusque là, rien de particulier... sauf qu'un peu de bibliographie montre bien que cette perception (réservons le mot "saveur" pour plus tard) des acides gras insaturés à longue chaîne n'est pas neuve : elle fut découverte il y a une quinzaine d'années par une équipe de physiologistes de Dijon (Bénard et al.), et j'ai dans mon ordinateurs des dizaines d'articles scientifiques qui l'attestent !
D'où la question : que faire, face à un tel communiqué de presse ? Pouvons-nous laisser croire à nos amis qu'il y a là une grande nouveauté ? Devons-nous laisser la malhonnêteté impunie ? Devons-nous passer l'éponge, en nous disant qu'un clou chasse l'autre, et qu'une "nouvelle" viendra s'ajouter à cette vieille lune, laquelle sera oubliée demain ? Ecrire à la chercheuse à l'origine de la publication ? Ce n'est pas elle qui est fautive, mais plutôt le service de communication de l'université Purdue : on sait que les institutions reçoivent des fonds en proportion de leur activité, notamment de la couverture médiatique qu'elles reçoivent, mais faut-il aller jusqu'à la tromperie ?
Je suis preneur de vos conseils.
Pour en revenir à cette "perception des acides gras insaturés à longue chaîne", vous observez que je n'écris pas "goût du gras", ni même "saveur du gras" (comme le fait ce communiqué de presse fautif), parce que, s'il a été effectivement montré que nous sommes sensibles à la matière grasse, ce n'est pas elle-même qui a "du goût".
En effet, la matière grasse est faite essentiellement de molécules de triglycérides, lesquelles sont composés d'un résidus de glycérol et de trois résidus d'acides gras. Lorsque nous mangeons un produit qui contient de telles molécules, des enzymes des papilles sapictives détachent des acides gras, et il est exact que certains de ces acides gras peuvent se lier à des récepteurs des papilles, et donner une sensation.
Cela étant, la question est surtout de savoir nommer cette perception. Ce n'est peut-être pas une saveur, contrairement à ce que le communiqué de presse dit, et c'est la raison pour laquelle, il y a plusieurs années, j'avais proposé le terme de "lipaction" pour la modalité de perception de ces acides gras.
Au départ, il y a une annonce, un "communiqué de presse", par l'université Purdue, qui stipule que "la recherche confirme que le gras est la sixième saveur".
Jusque là, rien de particulier... sauf qu'un peu de bibliographie montre bien que cette perception (réservons le mot "saveur" pour plus tard) des acides gras insaturés à longue chaîne n'est pas neuve : elle fut découverte il y a une quinzaine d'années par une équipe de physiologistes de Dijon (Bénard et al.), et j'ai dans mon ordinateurs des dizaines d'articles scientifiques qui l'attestent !
D'où la question : que faire, face à un tel communiqué de presse ? Pouvons-nous laisser croire à nos amis qu'il y a là une grande nouveauté ? Devons-nous laisser la malhonnêteté impunie ? Devons-nous passer l'éponge, en nous disant qu'un clou chasse l'autre, et qu'une "nouvelle" viendra s'ajouter à cette vieille lune, laquelle sera oubliée demain ? Ecrire à la chercheuse à l'origine de la publication ? Ce n'est pas elle qui est fautive, mais plutôt le service de communication de l'université Purdue : on sait que les institutions reçoivent des fonds en proportion de leur activité, notamment de la couverture médiatique qu'elles reçoivent, mais faut-il aller jusqu'à la tromperie ?
Je suis preneur de vos conseils.
Pour en revenir à cette "perception des acides gras insaturés à longue chaîne", vous observez que je n'écris pas "goût du gras", ni même "saveur du gras" (comme le fait ce communiqué de presse fautif), parce que, s'il a été effectivement montré que nous sommes sensibles à la matière grasse, ce n'est pas elle-même qui a "du goût".
En effet, la matière grasse est faite essentiellement de molécules de triglycérides, lesquelles sont composés d'un résidus de glycérol et de trois résidus d'acides gras. Lorsque nous mangeons un produit qui contient de telles molécules, des enzymes des papilles sapictives détachent des acides gras, et il est exact que certains de ces acides gras peuvent se lier à des récepteurs des papilles, et donner une sensation.
Cela étant, la question est surtout de savoir nommer cette perception. Ce n'est peut-être pas une saveur, contrairement à ce que le communiqué de presse dit, et c'est la raison pour laquelle, il y a plusieurs années, j'avais proposé le terme de "lipaction" pour la modalité de perception de ces acides gras.
Inscription à :
Articles (Atom)




